13.High-response heterojunction phototransistor based on vertically grown graphene nanosheets film
Carbon 172 (2021) 720-728 (PDF-File)
Xi Zhang , Lulu Tian , Dongfeng Diao *
Carbon-phototransistor with a structure of vertically grew graphene nanosheets embedded carbon (GNEC) film is fabricated through an electron-assisted sputtering-deposition method. This heterojunction phototransistor of GNEC/n-Si exhibits broad detection range (from 450 nm to 1200 nm), high photoresponsivity (1.298·104 A/W), and rapid response to on-off optical signals (4.91 ms). Driven by the source-drain voltage applied to the GNEC film, electrons recycle in the circuit before recombination, which enhance drastically the usage efficiency of photo-induced carriers. Besides, GNEC film contains a large amount of graphene edges, which may serve as electron pump in the photovoltaic process based on the e-h separation in the p-n junction. The GNEC/n-Si phototransistor improves the responsivity of ~103 order compared with that of photodiode mode.
12.Superhydrophobic, photo-sterilize, and reusable mask based on graphene nanosheet-embedded carbon (GNEC) film
Nano Research 2020 DOI: 10.1007/s12274-020-3158-1(PDF-File)
Zezhou Lin, Zheng Wang, Xi Zhang*, and Dongfeng Diao
The 2019 coronavirus disease (COVID-19) has affected more than 200 countries. Wearing masks can effectively
cut off the virus spreading route since the coronavirus is mainly spreading by respiratory droplets. However, the common surgical masks cannot be reused, resulting in the increasing economic and resource consumption around the world. Herein, we report a superhydrophobic, photo-sterilize, and reusable mask based on graphene nanosheet-embedded carbon (GNEC) film, with high-density edges of standing structured graphene nanosheets. The GNEC mask exhibits an excellent hydrophobic ability (water contact angle: 157.9°) and an outstanding filtration efficiency with 100% bacterial filtration efficiency (BFE). In addition, the GNEC mask shows the prominent photo-sterilize performance, heating up to 110 °C quickly under the solar illumination. These high performances may facilitate the combat against the COVID-19 outbreaks, while the reusable masks help reducing the economic and resource consumption.
11.Multilanguage-handwriting self-powered recognition based on triboelectric nanogenerator enabled machine learning
Nano Energy77(2020)105174 (PDF-File)
Weiqiang Zhang, Linfeng Deng, Lei Yang, Ping Yang, Dongfeng Diao*, Pengfei Wang*, Zhong Lin Wang*
Handwriting signature is widely used and the main challenge for handwriting recognition is how to
obtain comprehensive handwriting information. Triboelectric nanogenerator is sensitive to external triggering force and can be used to record personal handwriting signals and associated characteristics. In this work, micro/nano structure textured TENG acting as a smart self-powered handwriting pad is developed and its effectiveness for handwriting recognition is demonstrated. Three individuals’ handwriting signals of English words, Chinese characters and Arabic numerals are acquired by leaf-inspired TENG, and the other three people’s handwriting signals of English sentences and the corresponding Chinese sentences are obtained by cylindrical microstructured PDMS based TENG, and these signals exhibit unique features. Combined with the machine learning method, the people’s handwriting was successfully identified. The classification accuracies of 99.66%, 93.63%, 91.36%, 99.05%, and 97.73% were reached for English words, Arabic numerals, Chinese characters, English sentences, and the corresponding Chinese sentences, respectively. The results strongly suggested that the textured TENG exhibited great potential in personal handwriting signature identification, security defense, and private information protection applications.
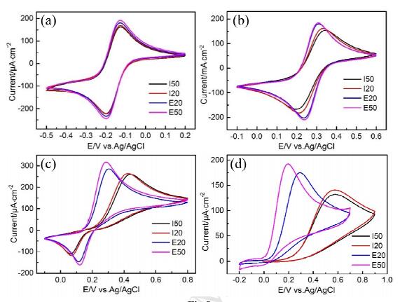
10.High Electrochemical Activity Induced by Doping Oxygen in Graphene Sheets Embedded Carbon Film
Adv. Mater. Interfaces 7(2020) 2000694
Yuanyuan Cao, Liangliang Huang, and Dongfeng Diao*
In this work, the high electrochemical activity induced by doping different contents of oxygen on the surface of
graphene sheets embedded carbon (GSEC) film is studied, which is prepared by electron cyclotron resonance (ECR) plasma sputtering system under electron irradiation. Transmission electron microscopy observation and Raman analysis confirm that doping oxygen induced more graphene edges and oxygen-containing functional groups on the surface. The electrochemical activities of the films are measured in the Fe(CN)64–/3– redox system and the results show that a proper doping content of oxygen is beneficial to reduce the oxidation-reduction peak
separation. The surface O-doped GSEC film with 5% content realizes the simultaneous detection of uric acid (UA), xanthine (XA) and hypoxanthine (HXA) with high sensitivity. The mechanism could be that the isolated electron at graphene edge and the polar fraction of oxygen-containing functional groups provide more active sites to accelerate the electron transfer. These results indicate that surface O-doped GSEC films are promising electrode materials to construct sensitive electrochemical biosensors.
9.Electrochemical activation of graphene sheets embedded carbon films for high sensitivity simultaneous determination of hydroquinone, catechol and resorcinol
Sensors & Actuators: B. Chemical 305 (2020) 127495 (PDF-File)
Liangliang Huang, Yuanyuan Cao, Dongfeng Diao*
In this study, the graphene sheets embedded carbon (GSEC) film was electrochemically activated in KOH solution for
high sensitivity simultaneous determination of hydroquinone (HQ), catechol (CC) and resorcinol (RC). The electrochemical activation mechanism of GSEC films in alkaline solution was clarified. We found that the embedded graphene sheets were corroded during activation, resulting in the formation of more defective graphene edges and carbonyl functional groups at the surface of carbon film. These corroded graphene edges provided more electrochemical active sites and accelerated the electron transfer. Thus, the activated GSEC film exhibited highly electrocatalytic activity towards the oxidation of HQ, CC and RC. The redox peak separation for HQ and CC decreased from 366 mV to 62 mV and 262 mV to 54 mV, respectively. The oxidation potential of RC also decreased from 714 mV to 590 mV. The electrochemical sensor showed a wide liner response for HQ, CC and RC in the concentration range of 0.5∼200 μM, 0.5∼200 μM and 0.2∼400 μM with detection limit of 0.1 μM, 0.1 μM and 0.05 μM, respectively. These results demonstrate that the KOH-activated GSEC film is a promising electrode material for constructing highly sensitive and selective biosensors.
8.Edge-State-Enhanced Ultrahigh Photoresponsivity of Graphene Nanosheet-Embedded Carbon Film/Silicon Heterojunction
Adv. Mater. Interfaces 2019, 1802062
Xi Zhang, Zezhou Lin, Da Peng, Lei Ye, Jianfeng Zang, and Dongfeng Diao*
Lacking of electron trapping centers hinders the development of plane graphene for sensitive photodetection. An
ultrasensitive graphene nanosheetembedded carbon (GNEC) film/silicon photodetector is proposed by introducing high-density edges of standing structured graphene nanosheets (GNs). The GNEC film is prepared to contain a large amount of vertically grown GNs. The high-density edges are able to trap itinerate electrons to tune the Fermi level of GNs in the growing process and to capture the photoexcited electrons to reduce the electron–hole recombination rate in the photovoltaic process. An ultrahigh responsivity of 61.52 A W−1 of GNEC film/Si photodetector is achieved, ≈20 times of graphene/Si photovoltaic detectors. A high specific detectivity of 3.05 × 1014 Jones (approximately two orders improved) is obtained at bias-free mode. This work sheds light on the edge engineering of 2D materials in the third dimension in order for enhancing photoelectronic performance.
7. Ultra-sensitive flexible strain sensor based on graphene nanocrystallite carbon film with wrinkle structure
Carbon 147 (2019) 227-235 (PDF-File)
Peidong Xue, Cheng Chen, Dongfeng Diao*
Flexible strain sensor is under high demand for detecting the various movements of human, but it is still a challenge to integrate high sensitivity and high stretchability simultaneously in a single flexible strain sensor. Here, based on a multi-scale structure design idea, an ultra-sensitive and highly stretchable strain sensor is fabricated using graphene nanocrystallite carbon film with wrinkle structure. In nano-scale, the intrinsic piezoresistive property of graphene nanocrystallite and the tunneling effect between graphene nanocrystallites bring an ultrahigh gauge factor of 1071. In micro-scale, the strain induced ordered parallel wrinkles and perpendicular microcracks to the strain direction can guarantee the flexible strain sensor stable under a maximum strain of 15%. Application tests of detecting the movement of muscles around eye, throat and wrist are conducted. These application tests prove that this strain sensor has high sensitivity, wide measurement range and rapid responsibility, suggesting a great potential in monitoring human activities.
6. Bias-Modulated High Photoelectric Response of Graphene-Nanocrystallite Embedded Carbon Film Coated on n-Silicon
Nanomaterials 2019, 9, 327
Xi Zhang , Zezhou Lin, Da Peng and Dongfeng Diao *
We propose that bias-modulated graphene-nanocrystallites (GNs) grown vertically can enhance the photoelectric
property of carbon film coated on n-Si substrate. In this work, GN-embedded carbon (GNEC) films were deposited by the electron cyclotron resonance (ECR) sputtering technique. Under a reverse diode bias which lifts the Dirac point of GNs to a higher value, the GNEC film/n-Si device achieved a high photocurrent responsivity of 0.35 A/W. The bias-modulated position of the Dirac point resulted in a tunable ON/OFF ratio and a variable spectral response peak. Moreover, due to the standing structured GNs keeping the transport channels, a response time of 2.2 s was achieved. This work sheds light on the bias-control wavelength-sensitive photodetector applications.
5. Edge Effect on the Photodetection Ability of the Graphene Nanocrystallites Embedded Carbon Film Coated on p-Silicon
Phys. Status Solidi RRL 2019, 1800511(PDF-File)
Xi Zhang, Da Peng, Zezhou Lin, Wencong Chen, and Dongfeng Diao*
A sensitive photodetector of graphene nanocrystallites embedded carbon (GNEC) film coated on p-silicon has been
proposed. Different from the conventional growth mode of graphene, GNEC film contains a large amount of vertically grown graphene nanocrystallites (GNs). Edges of GNs act as electron trapping centers, increasing the ability to capture electrons. Different types of films are prepared under various deposition biases (20, 40, 60, and 80 V), which have different density of edges (Nedge). Edge entrapment improves the photocurrent responsivity of 40 V film (high Nedge) to 0.401 A W 1, compared with 0.126 AW 1 of 20 V film (amorphous, no Nedge) and 0.194 AW 1 of 80 V film (low Nedge). A high specific detectivity of 1.34 1012 cm Hz1/2W 1 is exhibited at zero bias. GNs maintain a charge transport channel, which makes it have a fast response time τrise¼260 ns.
4.Surface N-doped graphene sheets induced high electrocatalytic activity for selective ascorbic acid sensing
Sensors & Actuators: B. Chemical 283 (2019) 556–562 (PDF-File)
Liangliang Huang , Yuanyuan Cao* , Dongfeng Diao*
In this study, the graphene sheets embedded carbon (GSEC) film was modified with surface N-doping for highly selective
ascorbic acid (AA) sensing. We found that the N-doped graphene sheets formed in-situ at the carbon film surface and induced high electrocatalytic activity for AA oxidation. Although surface N-doping slightly decreased the ID/IG and surface roughness of carbon film, the graphene sheets embedded in amorphous were preserved. With surface N-doping, the charge-transfer resistance was reduced from 22.5 Ω cm2 to 3.9 Ω cm2, the oxidation-reduction peak separation decreased to a low value of 65.7 mV in Fe(CN)6 4−/3− redox system, and the standard rate constant was increased from 0.24×10-2 to 1.36×10-2 cm·s-1. The surface N-doped graphene sheets embedded carbon (SN-GSEC) decreased the oxidation potential of AA from 0.186 V to 0.025 V (vs. Ag/AgCl) and realized selective detecting of AA. The mechanism may be that the surface N-doping induce the adjacent carbon in graphene sheets to obtain a higher partial density of states and more positive compensating charge. This study provides a simple method for preparing high performance electrochemical biosensor.
3. N-doped graphene sheets induced high electrochemical activity in carbon film
Applied Surface Science 470 (2019) 205–211
Liangliang Huang , Yuanyuan Cao , Dongfeng Diao*
In this study, we prepared a carbon film with clearly shaped N-doped graphene sheets by electron cyclotron esonance
(ECR) plasma sputtering under low-energy electron irradiation. We found the N-doped graphene sheets remarkably improved the electrochemical activity of carbon film. The charge-transfer resistance was decreased from 21.62 Ω·cm2 to 1.37 Ω·cm2 , and the redox peak separation was reduced to a low value of 65.4 mV in Fe(CN)6 4-/3- redox system. The high electrochemical activity of N-doped graphene sheets embedded carbon (N-GSEC) films was ascribed to the formation of smaller sized N-doped graphene sheets. The smaller sized N-doped graphene sheets with high electronic density of states produced abundant edge defects, which served as active sites, facilitated the adsorption of Fe(CN)6 4-/3- on film surface and enhanced the electron transfer. In detecting DNA base of adenine, the N-GSEC film showed a low oxidation potential and high sensitivity. These results demonstrate the N-GSEC film is a promising candidate material for construction sensitivity electrochemical biosensor.
2. Nanosized graphene sheets induced high electrochemical activity in pure carbon film
Electrochimica Acta, 262 (2018) 173-181
Liangliang Huang, Yuanyuan Cao, Dongfeng Diao*
We found that nanosized graphene sheets induced high electrochemical activity in pure carbon films, which prepared by
electron cyclotron resonance (ECR) plasma sputtering under low-energy electron irradiation condition. The electrochemical properties were studied by electrochemical impedance spectroscopy and cyclic voltammetry. The graphene sheets embedded carbon (GSEC) films showed a wide potential window over 3.2 V. The charge transfer resistance and the oxidation-reduction peak separation (∆EP) of the GSEC films are lower than amorphous carbon films in several redox systems (Fe(CN)64-/3-, Ru(NH3)62+/3+, dopamine and ascorbic acid), especially in the inner-sphere system, the ∆EP is only half of amorphous carbon films. The high electrochemical activity of GSEC films originated from the nanosized graphene sheets, which offered faster electron transfer path and more reaction active sites. Our results indicate the GSEC films have great potential to be an electrochemical biosensor in detecting biomolecules with high oxidation potential.
1. Self-magnetism induced large magnetoresistance at room temperature region in graphene nanocrystallited carbon film
Carbon 112 (2017), 162-168
Chao Wang, Dongfeng Diao*
We report large positive magnetoresistance (MR) of over 12% at 273 K in graphene nanocrystallited pure carbon film. MR behaviors at different temperatures implied that low temperature MR was from carrier diffusive scattering and room temperature MR was from spin arrangement effect. Temperature dependences of the film resistance and magnetization recognized that as temperature decreased from 300 to 200 K, transitions occurred on the electrical transporting process from conductive mode to semiconductive mode, and the nanocrystallited structure showed competition of ferromagnetic and antiferromagnetic interactions. The large room temperature MR was ascribed to the ferromagnetic order of spin magnetic moment arrangement at the of graphene layer edges.