Current location:Home>News&Events>Achievement>Content
Nanosized graphene sheets induced high electrochemical activity in pure carbon film
Views:[]  Delivery time:2018-01-31 11:44:14

Nanosized graphene sheets induced high electrochemical activity in pure carbon film

Electrochimica Acta,   262 (2018) 173-181 PDF-File

Liangliang Huang, Yuanyuan Cao, Dongfeng Diao*

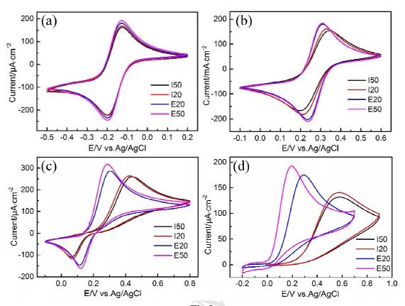
We found that nanosized graphene sheets induced high electrochemical activity in pure carbon films, which prepared by hll.jpgelectron cyclotron resonance (ECR) plasma sputtering under low-energy electron irradiation condition. The electrochemical properties were studied by electrochemical impedance spectroscopy and cyclic voltammetry. The graphene sheets embedded carbon (GSEC) films showed a wide potential window over 3.2 V. The charge transfer resistance and the oxidation-reduction peak separation (∆EP) of the GSEC films are lower than amorphous carbon films in several redox systems (Fe(CN)64-/3-, Ru(NH3)62+/3+, dopamine and ascorbic acid), especially in the inner-sphere system, the ∆EP is only half of amorphous carbon films. The high electrochemical activity of GSEC films originated from the nanosized graphene sheets, which offered faster electron transfer path and more reaction active sites. Our results indicate the GSEC films have great potential to be an electrochemical biosensor in detecting biomolecules with high oxidation potential.