=2021 =
1.High-response heterojunction phototransistor based on vertically grown graphene nanosheets film
Carbon 172 (2021) 720-728 (PDF-File)
Xi Zhang , Lulu Tian , Dongfeng Diao *
Carbon-phototransistor with a structure of vertically grew graphene nanosheets embedded carbon (GNEC) film is fabricated through an electron-assisted sputtering-deposition method. This heterojunction phototransistor of GNEC/n-Si exhibits broad detection range (from 450 nm to 1200 nm), high photoresponsivity (1.298·104 A/W), and rapid response to on-off optical signals (4.91 ms). Driven by the source-drain voltage applied to the GNEC film, electrons recycle in the circuit before recombination, which enhance drastically the usage efficiency of photo-induced carriers. Besides, GNEC film contains a large amount of graphene edges, which may serve as electron pump in the photovoltaic process based on the e-h separation in the p-n junction. The GNEC/n-Si phototransistor improves the responsivity of ~103 order compared with that of photodiode mode.
=2020 =
34.Superhydrophobic, photo-sterilize, and reusable mask based on graphene nanosheet-embedded carbon (GNEC) film
Nano Research 2020 DOI: 10.1007/s12274-020-3158-1(PDF-File)
Zezhou Lin, Zheng Wang, Xi Zhang*, and Dongfeng Diao
The 2019 coronavirus disease (COVID-19) has affected more than 200 countries. Wearing masks can effectively
cut off the virus spreading route since the coronavirus is mainly spreading by respiratory droplets. However, the common surgical masks cannot be reused, resulting in the increasing economic and resource consumption around the world. Herein, we report a superhydrophobic, photo-sterilize, and reusable mask based on graphene nanosheet-embedded carbon (GNEC) film, with high-density edges of standing structured graphene nanosheets. The GNEC mask exhibits an excellent hydrophobic ability (water contact angle: 157.9°) and an outstanding filtration efficiency with 100% bacterial filtration efficiency (BFE). In addition, the GNEC mask shows the prominent photo-sterilize performance, heating up to 110 °C quickly under the solar illumination. These high performances may facilitate the combat against the COVID-19 outbreaks, while the reusable masks help reducing the economic and resource consumption.
33.Multilanguage-handwriting self-powered recognition based on triboelectric nanogenerator enabled machine learning
Nano Energy77(2020)105174 (PDF-File)
Weiqiang Zhang, Linfeng Deng, Lei Yang, Ping Yang, Dongfeng Diao*, Pengfei Wang*, Zhong Lin Wang*
Handwriting signature is widely used and the main challenge for handwriting recognition is how to
obtain comprehensive handwriting information. Triboelectric nanogenerator is sensitive to external triggering force and can be used to record personal handwriting signals and associated characteristics. In this work, micro/nano structure textured TENG acting as a smart self-powered handwriting pad is developed and its effectiveness for handwriting recognition is demonstrated. Three individuals’ handwriting signals of English words, Chinese characters and Arabic numerals are acquired by leaf-inspired TENG, and the other three people’s handwriting signals of English sentences and the corresponding Chinese sentences are obtained by cylindrical microstructured PDMS based TENG, and these signals exhibit unique features. Combined with the machine learning method, the people’s handwriting was successfully identified. The classification accuracies of 99.66%, 93.63%, 91.36%, 99.05%, and 97.73% were reached for English words, Arabic numerals, Chinese characters, English sentences, and the corresponding Chinese sentences, respectively. The results strongly suggested that the textured TENG exhibited great potential in personal handwriting signature identification, security defense, and private information protection applications.
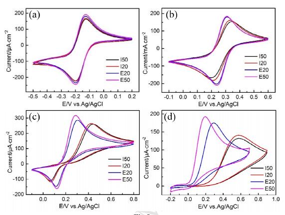
32.High Electrochemical Activity Induced by Doping Oxygen in Graphene Sheets Embedded Carbon Film
Adv. Mater. Interfaces 7(2020) 2000694
Yuanyuan Cao, Liangliang Huang, and Dongfeng Diao*
In this work, the high electrochemical activity induced by doping different contents of oxygen on the surface of
graphene sheets embedded carbon (GSEC) film is studied, which is prepared by electron cyclotron resonance (ECR) plasma sputtering system under electron irradiation. Transmission electron microscopy observation and Raman analysis confirm that doping oxygen induced more graphene edges and oxygen-containing functional groups on the surface. The electrochemical activities of the films are measured in the Fe(CN)64–/3– redox system and the results show that a proper doping content of oxygen is beneficial to reduce the oxidation-reduction peak
separation. The surface O-doped GSEC film with 5% content realizes the simultaneous detection of uric acid (UA), xanthine (XA) and hypoxanthine (HXA) with high sensitivity. The mechanism could be that the isolated electron at graphene edge and the polar fraction of oxygen-containing functional groups provide more active sites to accelerate the electron transfer. These results indicate that surface O-doped GSEC films are promising electrode materials to construct sensitive electrochemical biosensors.
31. Magnetostrictive friction of graphene sheets embedded carbon film
Carbon 159 (2020) 617-624 (PDF-File)
Lei Yang, Kai Qi, Dongfeng Diao*, Pengfei Wang, Peidong Xue

We report a magnetostrictive friction phenomenon in atomic force microscopy (AFM) silicon probe sliding against graphene sheets embedded carbon (GSEC) film under external magnetic field. A special electromagnet device was designed on AFM to generate controllable magnetic field for the magnetostrictive friction measurements. GSEC films possessing self-magnetism were prepared by electron irradiation in electron cyclotron resonance (ECR) plasma. The magnetostrictive friction was investigated by adjusting the external magnetic field intensity and self-magnetism of the film. The results showed that the presence of the magnetic field resulted in an evident increment of the friction force of GSEC films with different magnetism, while the friction of nonmagnetic silicon wafer was not affected, indicating that the interaction between external magnetic field and the self-magnetism of the carbon film contributes to the friction increment, i.e. magnetostrictive friction. The mechanism of the magnetostrictive friction was ascribed to the atomic scale real contact area increment induced by the magnetostrictive strain of the graphene sheets. This finding may shed light on the new applications of magnetostrictive friction of carbon film.
30.Electrochemical activation of graphene sheets embedded carbon films for high sensitivity simultaneous determination of hydroquinone, catechol and resorcinol
Sensors & Actuators: B. Chemical 305 (2020) 127495 (PDF-File)
Liangliang Huang, Yuanyuan Cao, Dongfeng Diao*
In this study, the graphene sheets embedded carbon (GSEC) film was electrochemically activated in KOH solution for
high sensitivity simultaneous determination of hydroquinone (HQ), catechol (CC) and resorcinol (RC). The electrochemical activation mechanism of GSEC films in alkaline solution was clarified. We found that the embedded graphene sheets were corroded during activation, resulting in the formation of more defective graphene edges and carbonyl functional groups at the surface of carbon film. These corroded graphene edges provided more electrochemical active sites and accelerated the electron transfer. Thus, the activated GSEC film exhibited highly electrocatalytic activity towards the oxidation of HQ, CC and RC. The redox peak separation for HQ and CC decreased from 366 mV to 62 mV and 262 mV to 54 mV, respectively. The oxidation potential of RC also decreased from 714 mV to 590 mV. The electrochemical sensor showed a wide liner response for HQ, CC and RC in the concentration range of 0.5∼200 μM, 0.5∼200 μM and 0.2∼400 μM with detection limit of 0.1 μM, 0.1 μM and 0.05 μM, respectively. These results demonstrate that the KOH-activated GSEC film is a promising electrode material for constructing highly sensitive and selective biosensors.
29. Ultrasmooth nanocrystalline carbon film induced by low concentration doping: Carbide disorienting graphene nanocrystallite
Carbon 158 (2020) 69-76 (PDF-File)
Cheng Chen, Xue Fan, Dongfeng Diao*
The fabrication of nanocrystalline films is usually accompanied by undesired surface roughening, which limits their
applications in tribology, optics and electronics. Here, we report a technique to reduce the average roughness of graphene nanocrystalline carbon film from 18.3 nm to 0.66 nm by ~5 at.% Tidoping. The surface of the Ti-doped graphene nanocrystalline carbon film stay ultrasmooth from few nanometer thick up to 1 mm thick. Based on the nanostructure characterization, the ultrasmooth mechanism is interpreted that Ti-doping leads to the formation of TieC bond, and changes the growth of graphene nanocrystallite from preferred vertical-aligned orientation to random orientation. The ultrasmooth mechanism is general, as shown by similar effects with low concentration doping of Si, Al, Cr, Zr and W. This approach paves a way for fabricating ultrasmooth nanocrystalline carbon films without a requirement of ion-impact-induced downhill current, and significantly improving the hardness of the graphene nanocrystalline carbon film.
=2019 =
27.Edge-State-Enhanced Ultrahigh Photoresponsivity of Graphene Nanosheet-Embedded Carbon Film/Silicon Heterojunction
Adv. Mater. Interfaces 2019, 1802062
Xi Zhang, Zezhou Lin, Da Peng, Lei Ye, Jianfeng Zang, and Dongfeng Diao*
Lacking of electron trapping centers hinders the development of plane graphene for sensitive photodetection. An
ultrasensitive graphene nanosheetembedded carbon (GNEC) film/silicon photodetector is proposed by introducing high-density edges of standing structured graphene nanosheets (GNs). The GNEC film is prepared to contain a large amount of vertically grown GNs. The high-density edges are able to trap itinerate electrons to tune the Fermi level of GNs in the growing process and to capture the photoexcited electrons to reduce the electron–hole recombination rate in the photovoltaic process. An ultrahigh responsivity of 61.52 A W−1 of GNEC film/Si photodetector is achieved, ≈20 times of graphene/Si photovoltaic detectors. A high specific detectivity of 3.05 × 1014 Jones (approximately two orders improved) is obtained at bias-free mode. This work sheds light on the edge engineering of 2D materials in the third dimension in order for enhancing photoelectronic performance.
26. Ultra-sensitive flexible strain sensor based on graphene nanocrystallite carbon film with wrinkle structure
Carbon 147 (2019) 227-235 (PDF-File)
Peidong Xue, Cheng Chen, Dongfeng Diao*
Flexible strain sensor is under high demand for detecting the various movements of human, but it is still a challenge to integrate high sensitivity and high stretchability simultaneously in a single flexible strain sensor. Here, based on a multi-scale structure design idea, an ultra-sensitive and highly stretchable strain sensor is fabricated using graphene nanocrystallite carbon film with wrinkle structure. In nano-scale, the intrinsic piezoresistive property of graphene nanocrystallite and the tunneling effect between graphene nanocrystallites bring an ultrahigh gauge factor of 1071. In micro-scale, the strain induced ordered parallel wrinkles and perpendicular microcracks to the strain direction can guarantee the flexible strain sensor stable under a maximum strain of 15%. Application tests of detecting the movement of muscles around eye, throat and wrist are conducted. These application tests prove that this strain sensor has high sensitivity, wide measurement range and rapid responsibility, suggesting a great potential in monitoring human activities.

25. Bias-Modulated High Photoelectric Response of Graphene-Nanocrystallite Embedded Carbon Film Coated on n-Silicon
Nanomaterials 2019, 9, 327
Xi Zhang , Zezhou Lin, Da Peng and Dongfeng Diao *
We propose that bias-modulated graphene-nanocrystallites (GNs) grown vertically can enhance the photoelectric
property of carbon film coated on n-Si substrate. In this work, GN-embedded carbon (GNEC) films were deposited by the electron cyclotron resonance (ECR) sputtering technique. Under a reverse diode bias which lifts the Dirac point of GNs to a higher value, the GNEC film/n-Si device achieved a high photocurrent responsivity of 0.35 A/W. The bias-modulated position of the Dirac point resulted in a tunable ON/OFF ratio and a variable spectral response peak. Moreover, due to the standing structured GNs keeping the transport channels, a response time of 2.2 s was achieved. This work sheds light on the bias-control wavelength-sensitive photodetector applications.
24. Edge Effect on the Photodetection Ability of the Graphene Nanocrystallites Embedded Carbon Film Coated on p-Silicon
Phys. Status Solidi RRL 2019, 1800511(PDF-File)
Xi Zhang, Da Peng, Zezhou Lin, Wencong Chen, and Dongfeng Diao*
A sensitive photodetector of graphene nanocrystallites embedded carbon (GNEC) film coated on p-silicon has been
proposed. Different from the conventional growth mode of graphene, GNEC film contains a large amount of vertically grown graphene nanocrystallites (GNs). Edges of GNs act as electron trapping centers, increasing the ability to capture electrons. Different types of films are prepared under various deposition biases (20, 40, 60, and 80 V), which have different density of edges (Nedge). Edge entrapment improves the photocurrent responsivity of 40 V film (high Nedge) to 0.401 A W 1, compared with 0.126 AW 1 of 20 V film (amorphous, no Nedge) and 0.194 AW 1 of 80 V film (low Nedge). A high specific detectivity of 1.34 1012 cm Hz1/2W 1 is exhibited at zero bias. GNs maintain a charge transport channel, which makes it have a fast response time τrise¼260 ns.
23.Surface N-doped graphene sheets induced high electrocatalytic activity for selective ascorbic acid sensing
Sensors & Actuators: B. Chemical 283 (2019) 556–562 (PDF-File)
Liangliang Huang , Yuanyuan Cao* , Dongfeng Diao*
In this study, the graphene sheets embedded carbon (GSEC) film was modified with surface N-doping for highly selective
ascorbic acid (AA) sensing. We found that the N-doped graphene sheets formed in-situ at the carbon film surface and induced high electrocatalytic activity for AA oxidation. Although surface N-doping slightly decreased the ID/IG and surface roughness of carbon film, the graphene sheets embedded in amorphous were preserved. With surface N-doping, the charge-transfer resistance was reduced from 22.5 Ω cm2 to 3.9 Ω cm2, the oxidation-reduction peak separation decreased to a low value of 65.7 mV in Fe(CN)6 4−/3− redox system, and the standard rate constant was increased from 0.24×10-2 to 1.36×10-2 cm·s-1. The surface N-doped graphene sheets embedded carbon (SN-GSEC) decreased the oxidation potential of AA from 0.186 V to 0.025 V (vs. Ag/AgCl) and realized selective detecting of AA. The mechanism may be that the surface N-doping induce the adjacent carbon in graphene sheets to obtain a higher partial density of states and more positive compensating charge. This study provides a simple method for preparing high performance electrochemical biosensor.
22. Intelligently detecting and identifying liquids leakage combining triboelectric nanogenerator based self-powered sensor with machine learning
Nano Energy 56 (2019) 277–285 (PDF-File)
Weiqiang Zhang, Pengfei Wang,Kun Sun,Chao Wang,Dongfeng Diao*
Self-powered, rapidly-responding and cost-effective sensor is greatly needed in liquids leakage detection. Here, a single
electrode liquid-solid (SELS) triboelectric nanogenerator (TENG) with a triboelectric layer of p-type silicon was designed and its performances for liquids leakage detecting and identifying were studied. The results demonstrated that the designed SELS TENG was sensitive to very small liquids leakage and could qualitatively characterize the leakage rate of liquid. The difference between the short-circuit output currents of the SELS TENG responding to several liquids was mainly considered as from their different conductivity and wettability. In addition, the short-circuit output currents of SELS TENG responding to different liquids were considered as their fingerprint and used to identify liquids. A great deal of sensors in practical application generated a great of data and an intelligent detecting and identifying system was designed to identify different liquids based on big data and machine learning technologies. High classification accuracies over 90% were obtained for each two liquids in most of cases. These findings shed light on the application of TENG based self-powered sensors in liquid leakage detecting and environment monitoring fields. Most importantly, the great potential application of TENG combined with big data and machine learning technologies was successfully explored and exhibited.
21. N-doped graphene sheets induced high electrochemical activity in carbon film
Applied Surface Science 470 (2019) 205–211
Liangliang Huang , Yuanyuan Cao , Dongfeng Diao*
In this study, we prepared a carbon film with clearly shaped N-doped graphene sheets by electron cyclotron esonance
(ECR) plasma sputtering under low-energy electron irradiation. We found the N-doped graphene sheets remarkably improved the electrochemical activity of carbon film. The charge-transfer resistance was decreased from 21.62 Ω·cm2 to 1.37 Ω·cm2 , and the redox peak separation was reduced to a low value of 65.4 mV in Fe(CN)6 4-/3- redox system. The high electrochemical activity of N-doped graphene sheets embedded carbon (N-GSEC) films was ascribed to the formation of smaller sized N-doped graphene sheets. The smaller sized N-doped graphene sheets with high electronic density of states produced abundant edge defects, which served as active sites, facilitated the adsorption of Fe(CN)6 4-/3- on film surface and enhanced the electron transfer. In detecting DNA base of adenine, the N-GSEC film showed a low oxidation potential and high sensitivity. These results demonstrate the N-GSEC film is a promising candidate material for construction sensitivity electrochemical biosensor.
=2018 =
20.Nanosized graphene sheets enhanced electron field emission behavior in pure carbon film
Thin Solid Films 664 (2018) 124–129
Kun Sun, Dongfeng Diao*, Lei Yang, Weiqiang Zhang, Xue Fan
We reported the field emission behavior of pure carbon films deposited by low-energy electron irradiation in electron
cyclotron resonance plasma. First, the field emission behaviors of amorphous, graphene sheets embedded and graphite-like structures were investigated, and the graphene sheets embedded carbon film exhibited an enhanced performance. Then by controlling the electron irradiation energies and densities, the effects of the graphene sheets on the field emission properties were examined. The best electron emission property (turn-on field of 8.4 V/μm and maximum current density of 2.10 mA/cm2 at electric field of 16 V/μm) was obtained with the carbon film under the electron irradiation energy of 50 eV and density of 65 mA/cm2. The mechanism of enhanced field emission was attributed to the nanosized graphene sheets which acted as electron emitters and transport channels. The method of controlling nanosized graphene sheets is important for developing the nanostructured carbon coatings in field emission applications.
19.Study on friction-electrification coupling in sliding-mode triboelectric nanogenerator
Nano Energy,48(2018),456-463
Weiqiang Zhang, Dongfeng Diao*, Kun Sun, Xue Fan, Pengfei Wang*
Triboelectric nanogenerator (TENG) is regarded as a revolutionary technology for harvesting clean and sustainable energy
with low cost. Here, sliding-mode TENGs based on both graphene sheets embedded carbon (GSEC) and amorphous carbon (a-C) films were designed and their friction-electrification coupling properties were studied. The GSEC and a-C films were fabricated by electron irradiation assisted physical vapor deposition in an electron cyclotron resonance (ECR) plasma system. A novel testing platform that can simultaneously measure friction force, output voltage and output current was designed and assembled for studying the friction-electrification coupling of sliding-mode TENG. In the case of GESC and a-C films slid against Polytetrafluoroethylene (PTFE) film, the 5 open-circuit output voltage, the short-circuit output current density, the peak power density and the maximum instantaneous energy conversion efficiency were 13.5 V, 0.35 uA/cm2, 0.63 mW/cm2 and 8.61% for the GSEC film based TENG, and 8.5 V, 0.24 uA/cm2, 0.5 mW/ cm2 and 7.71% for the a-C film based TENG, respectively. The results implied that the GSEC film exhibited a higher electric output performance compared with the a-C film. The origin of high electric output performance of the GSEC film based TENG was ascribed to the edge and channel effects of graphene sheets. These findings shed light on the application of carbon films in friction-induced nanoenergy field.
18. Nanosized graphene sheets induced high electrochemical activity in pure carbon film
Electrochimica Acta, 262 (2018) 173-181
Liangliang Huang, Yuanyuan Cao, Dongfeng Diao*
We found that nanosized graphene sheets induced high electrochemical activity in pure carbon films, which prepared by
electron cyclotron resonance (ECR) plasma sputtering under low-energy electron irradiation condition. The electrochemical properties were studied by electrochemical impedance spectroscopy and cyclic voltammetry. The graphene sheets embedded carbon (GSEC) films showed a wide potential window over 3.2 V. The charge transfer resistance and the oxidation-reduction peak separation (∆EP) of the GSEC films are lower than amorphous carbon films in several redox systems (Fe(CN)64-/3-, Ru(NH3)62+/3+, dopamine and ascorbic acid), especially in the inner-sphere system, the ∆EP is only half of amorphous carbon films. The high electrochemical activity of GSEC films originated from the nanosized graphene sheets, which offered faster electron transfer path and more reaction active sites. Our results indicate the GSEC films have great potential to be an electrochemical biosensor in detecting biomolecules with high oxidation potential.
17.Friction-induced rapid restructuring of graphene nanocrystallite cap layer at sliding surfaces: Short run-in period
Carbon 130 (2018) 215-221(PDF)
Cheng Chen, Peidong Xue, Xue Fan, Chao Wang, Dongfeng Diao*
Amorphous carbon film is vastly applied for low-friction protective coatings at contact sliding surfaces. However before reaching steady low friction
status, the film always endures a high friction period known as the “run-in” period, sometimes taking thousands of sliding cycles, causing remarkable energy dissipation. Here, we report that the run-in period of amorphous carbon film could be drastically shortened to 22 ± 5 cycles by fabricating a 5-nm graphene nanocrystallite cap layer. The cap layer gave rise to rapid formation of graphene nanocrystallized transfer film, which responds to the short run-in period. We found two key factors for the rapid formation of transfer film. Firstly, the cap layer had lower wear resistance than the amorphous carbon, severing as a quick-wearing sacrificial layer. Secondly, the anocrystallization of transfer film was mainly due to friction-induced restructuring of graphene nanocrystallite but not friction-induced heat. In addition, the friction test of amorphous carbon film covered with multilayer graphene micro-flakes also verified that friction-induced rapid restructuring of graphene sheets at sliding surfaces resulted in short run-in period.
=2016 =
16. Self-magnetism induced large magnetoresistance at room temperature region in graphene nanocrystallited carbon film
Carbon 112 (2017), 162-168
Chao Wang, Dongfeng Diao*
We report large positive magnetoresistance (MR) of over 12% at 273 K in graphene nanocrystallited pure carbon film. MR behaviors at different temperatures implied that low temperature MR was from carrier diffusive scattering and room temperature MR was from spin arrangement effect. Temperature dependences of the film resistance and magnetization recognized that as temperature decreased from 300 to 200 K, transitions occurred on the electrical transporting process from conductive mode to semiconductive mode, and the nanocrystallited structure showed competition of ferromagnetic and antiferromagnetic interactions. The large room temperature MR was ascribed to the ferromagnetic order of spin magnetic moment arrangement at the of graphene layer edges.
15. Nanosized graphene sheets enhanced photoelectric behavior of carbon film on p-silicon substrate
Applied Physics Letters 109(2016), 031910
Lei Yang, Gaijuan Hu, Dongqing Zhang, and Dongfeng Diao*
We found that nanosized graphene sheets enhanced the photoelectric behavior of graphene sheets
embedded carbon (GSEC) film on p-silicon substrate, which was deposited under low energy electron irradiation in electron cyclotron resonance plasma. The GSEC/p-Si photodiode exhibited good photoelectric performance with photoresponsivity of 206 mA/W, rise and fall time of 2.2, and 4.3 ls for near-infrared (850 nm) light. The origin of the strong photoelectric behavior of GSEC film was ascribed to the appearance of graphene nanosheets, which led to higher barrier height and photoexcited electron-collection efficiency. This finding indicates that GSEC film has the potential for photoelectric applications.
=2015 =
14. Restructured graphene sheets embedded carbon film by oxygen plasma etching and its tribological properties
Applied Surface Science 357 (2015) 771–776(PDF-File)
Meiling Guo, Dongfeng Diao*, Lei Yang, Xue Fan
An oxygen plasma etching technique was introduced for improving the tribological
properties of thegraphene sheets embedded carbon (GSEC) film in electron cyclotron resonance plasma processing system. The nanostructural changing in the film caused by oxygen plasma etching was examined by transmission electron microscope, Raman spectroscopy and X-ray photoelectron spectroscopy, showing that the 3 nm thick top surface layer was restructured with smaller graphene nanocrystallite size as well as higher sp3bond fraction. The surface roughness, mechanical behavior and tribological properties of the original GSECand oxygen plasma treated GSEC films were compared. The results indicated that after the oxygen plasma treatment, the average roughness decreased from 20.8 ± 1.1 nm to 1.9 ± 0.1 nm, the hardness increased from 2.3 ± 0.1 GPa to 2.9 ± 0.1 GPa, the nanoscratch depth decreased from 64.5 ± 5.4 nm to 9.9 ± 0.9 nm,and the wear life increased from 930 ± 390 cycles to more than 15,000 frictional cycles. The origin of the improved tribological behavior was ascribed to the 3 nm thick graphene nanocrystallite film. This finding can be expected for wide applications in nanoscale surface engineering.
13. Stable and super-low friction of amorphous carbon nitride coatings in nitrogen gas by using two-step ball-on-disk friction test
Lubrication Science 27(2015), 137–149(PDF-File)
Pengfei Wang*, Masakatsu Sugo and Koshi Adachi
Effect of running-in process on friction behaviour of carbon nitride (CNx) coating
in N2 gas stream was investigated with a newly introduced two-step ball-on-disk friction test, where the rubbed Si3N4 ball in the pre-sliding (step 1) was replaced by a new CNx-coated Si3N4 ball in the subsequent sliding stage under N2 gas (step 2). The two-step friction test is clarified to be a simple but effective technique for obtaining contact material combination of self-mated CNx coatings and for achieving stable and low frictions of CNx coatings. Friction coefficients of CNx/CNx in N2 gas stream decrease greatly from 0.07 without pre-sliding to less than 0.025 in two-step friction tests. The minimum friction coefficient of 0.004 was obtained by introducing 500 cycles of pre-sliding in ambient air. These stable and low frictions are attributed to the generation of self-mated CNx coatings and the formation of a lubricious layer on the disk surface.
12. Nanosized graphene crystallite induced strong magnetism in pure carbon films
Nanoscale 7 (2015) 4475-4481 (PDF-File)
Chao Wang, Xi Zhang and Dongfeng Diao*
We report strong magnetism in pure carbon films grown by electron irradiation assisted physical vapor deposition in electron cyclotron resonance plasma. The development of graphene nanocrystallites in the amorphous film matrix, and the dependence of the magnetic behavior on amorphous, nanocrystallite and graphite-like structures were investigated. Results were that the amorphous structure shows weak paramagnetism, graphene nanocrystallites lead to strong magnetization, and graphite-like structures corresponded with a lower magnetization. At a room temperature of 300 K, the highest saturation magnetization of 0.37 emu g−1 was found in the nanosized graphene nanocrystallite structure. The origin of strong magnetism in nanocrystallites was ascribed to the spin magnetic moment at the graphene layer edges.
11.The Effects of Diamond-Like Carbon Films on Fretting Wear Behavior of Orthodontic Archwire-Bracket Contacts
Journal of Nanoscience and Nanotechnology 15(2015) 4641–4647 (PDF-File)
Ting Kang, Shi-You Huang, Jie-Jie Huang, Qi-Hong Li, Dong-Feng Diao∗, and Yin-Zhong Duan∗
This study aims to assess the effects of diamond-like carbon (DLC) films on fretting wear behavior of orthodontic archwire-bracket contacts. ‘Mirror-confinement-type electron cyclotron resonance (MCECR) plasma sputtering’ was utilized to deposit carbon films on stainless steel archwires and brackets. Nanostructure of carbon films such as the bonding structure, cross-sectional thickness and surface roughness were studied. The fretting wear behavior of various archwire-bracket contacts were investigated by using a self-developed tester in ambient air and artificial saliva. The results indicated that DLC-coated wires showed significantly low friction coefficient than the uncoated wires independently of the applied environments. Nevertheless, the DLC-coated and uncoated brackets showed no significant differences in the friction coefficient. Microscopic analysis showed that low wear took place for the DLC-coated surfaces. It is proposed that the application of DLC coating on archwires can decrease the orthodontic fretting wear and coefficient of friction. Unfortunately it does not affect the frictional properties for brackets at present.
10.Experimental study on load capacity of nanoparticles-laden gas film in thrust bearing
Industrial Lubrication and Tribology,67(3),233–239(2015)
Zhiru Yang, Dongfeng Diao, Hongyan Fan,Xue Fan and Chao Wang
Purpose – The purpose of this paper is to study the load capacity of nanoparticles-laden gas film (NLGF) in thrust bearing.
Design/methodology/approach – SiO2 nanoparticles were added into gas to form an NLGF. The nanoparticles volume fraction in the film was controlled by a vibrator. The film thickness and the film pressure were measured by a micro cantilever displacement sensor and a membrane pressure sensor, respectively. The total load that makes the film thickness keeping constant was quantified, and then, the film load capacity was obtained.
Findings – The investigation shows that nanoparticles can enlarge the film load capacity remarkably; even a little amount of nanoparticles (0.01 per cent) could lead to a sharp rise. With the increase of nanoparticles volume fraction, load capacity increases. However, the increment of load capacity decreases gradually. In addition, the film pressure variation proves the enhancement effect of nanoparticles on the film load capacity.
Research limitations/implications – The paper is restricted to the findings based on NLGF, which is formed by dispersing SiO2 nanoparticles in gas film as an additive. The experimental results are applicable within the range of nanoparticles volume fraction of 0.01-0.33 per cent.
Originality/value – The fact that nanoparticles could enlarge the gas film load capacity is verified by experiment for the first time. This study reveals the corresponding relation between nanoparticles volume fraction and the film load capacity.
=2014 =
9. Low frictions of self-mated CNx coatings in dry and humid inert gas environments
Surface & Coatings Technology, 258, 1137 (2014) (PDF-File)
Pengfei Wang , and Koshi Adachi.
The friction behavior of CNx coated Si3N4 disk sliding against CNx coated Si3N4 ball (denoted
as CNx/CNx) in dry and humid inert gas environments (i.e. nitrogen, argon, and helium) is investigated in this study. The sliding contact of self-mated CNx coatings has been realized thanks to the promising two-step ball-on-disk friction test, where the rubbed Si3N4 ball in the running-in stage (step 1) is replaced by a new CNx coated Si3N4 ball in the subsequent stage (step 2). As a result, friction coefficients of less than 0.05 are obtained for self-mated CNx coatings in all three dry inert gas environmentswith relative humidity under 5%RH.Moreover, friction coefficients of less than 0.10 are obtained for the sliding contact of CNx/CNx in inert gas environmentswith relative humidity of larger than 35%RH. Especially, the lowest friction coefficient of 0.020 is achieved in the nitrogen gas environment with relative humidity of 37%RH. Furthermore, the sliding contact of self-mated CNx coatings survives after friction tests in humid nitrogen and argon gas environments. The low frictional performance and low sensitivity of friction to water vapor for the self-mated CNx coatings in inert gas environments are mainly attributed to the formation of a sp2 rich carbon tribo-layer on the mating surface. The pronounced frictional performance of selfmated CNx coatings has made them good candidates for the demanding industrial applications.
8. Scratch Behavior of Re-structured Carbon Coating by Oxygen Plasma Etching Technology for Magnetic Disk Application
Surface &Coatings Technology 251, 128 (2014) (PDF-File)
Meiling Guo, Dongfeng Diao*, Xue Fan, Lei Yang, Liwei Yu.
An oxygen plasma etching technology to prepare ultrathin carbon coatings for magnetic disk in electroncyclotron resonance(ECR) plasma system was developed. In the preparation process, as-deposited carbon coatings were etched by oxygen plasma to obtain re-structured carbon coatings. Scratch behaviors of the as-deposited and re-structured carbon coatings on silicon substrates were evaluated by atomic force microscope (AFM) scratch test. It was found that the scratch resistance of the re-structured carbon coating was improved. Then X-ray photoelectron spectroscopy (XPS) analysis showed that after oxygen plasma etching, the C_C (sp2) content decreased from 55% to 17%, the CC (sp3) content increased from 33% to 58% and the CO content increased from 7% to 18%. It indicated that the oxygen plasma etching induced the increase of the sp3 bonding carbon, which contributed to the improved scratch resistance. Further transmission electron microscope (TEM) observation was conducted and the rising of the scratch resistance was inferred to be caused by the formation of the interlayer cross-linking after preferentially breaking the sp2 bond. Based on the above results, the ultrathin re-structured carbon coatings by oxygen plasma etching were prepared on uncoated magnetic disk substrates and showed a better scratch behavior and a comparable surface roughness in comparison with the commercial magnetic disk.
7. Effects of substrate bias voltage and target sputtering power on the structural and tribological properties of carbon nitride coatings
Materials Chemistry and Physics, 145,434 (2014) (PDF-File)
Pengfei Wang *, Takanori Takeno, Julien Fontaine, Masami Aono, Koshi Adachi, Hiroyuki Miki, and Toshiyuki Takagi.
Effects of substrate bias voltage and target sputtering power on the structural and tribological
properties of carbon nitride (CNx) coatings are investigated. CNx coatings are fabricated by a hybrid coating process with the combination of radio frequency plasma enhanced chemical vapor deposition (RF PECVD) and DC magnetron sputtering at various substrate bias voltage and target sputtering power in the order of 400 V 200W,400 V 100W,800 V 200W, and800 V 100W. The deposition rate, N/C atomic ratio, and hardness of CNx coatings as well as friction coefficient of CNx coating sliding against AISI 52100 pin in N2 gas stream decrease, while the residual stress of CNx coatings increases with the increase of substrate bias voltage and the decrease of target sputtering power. The highest hardness measured under single stiffness mode of 15.0 GPa and lowest residual stress of 3.7 GPa of CNx coatings are obtained at400 V 200W, whereas the lowest friction coefficient of 0.12 of CNx coatings is achieved at800 V 100W. Raman and XPS analysis suggest that sp3 carbon bonding decreases and sp2 carbon bonding increases with the variations in substrate bias voltage and target sputtering power. Optical images and Raman characterization of worn surfaces confirm that the friction behavior of CNx coatings is controlled by the directly sliding between CNx coating and steel pin. Therefore, the reduction of friction coefficient is attributed to the decrease of sp3 carbon bonding in the CNx coating. It is concluded that substrate bias voltage and target sputtering power are effective parameters for tailoring the structural and tribological properties of CNx coatings.
6. Contact Stress-Induced Micromagnetic Behavior in Magnetic Recording Disk
Tribology Letters 54, 287 (2014) (PDF-File)
Lei Yang and Dongfeng Diao*
Stress plays an important role in the magnetic properties of ferromagnetic materials. Sliding
contact in hard disk drives can leadto tribological failures of the disk in terms of data loss and demagnetization. However, the relationship between contact stress-induced magnetization changes and tribological failures of magnetic recording disk is rarely discussed. In this study, the contact stressinduced micromagnetic behavior in magnetic recording disk was investigated using micromagnetic simulation. A micromagnetic model including the magnetostriction effect into the Landau–Lifshitz–Gilbert equation was developed to simulate the stress effect on the magnetization changes. Then finite element analysis was used to calculate the critical stresses for the occurrence of data loss and demagnetization of perpendicular magnetic recording disk under sliding contact according to our previous experimental results. Based on these simulation results, it was found that the magnetic moment decreased by 8.9 % under the critical stress for data loss, and it rotated 55.7 under the critical stress for demagnetization. In addition, the simulated static domain structures when data loss and demagnetization occur were in agreement with the previously reported experimental results. Finally, the relationship between the contact stress-induced tribological failures and micromagnetic behavior of the magnetic disk was illustrated. It was proposed that data loss is caused by the magnetization reduction, while demagnetization is caused by the magnetization rotation.
5. Lubrication Performance of Nanoparticles-Laden Gas Film in Thrust Bearing under Noncontact and Contact Conditions
ASME,Trans., Journal of Tribology 136, 034505(2014) (PDF-File)
Hongyan Fan, Xue Fan, Zhiru Yang and Dongfeng Diao*
The nanoparticles-laden gas film (NLGF), which is formed by adding nanoparticles into the gas film,
has a potential toincrease the load capacity of the gas film and to protect the surfaces of the bearing from severe contact damage. In order to explore the lubrication performance of NLGF, the load capacity in the noncontact state and the friction coefficient in the contact state were studied experimentally by a novel NLGF thrust bearing apparatus. The effects of nanoparticles concentration on the load capacity and the friction coefficient were investigated, respectively. The lubrication performance of NLGF in a 200 start-stop cyclic test was evaluated. The contact surfaces were analyzed by the surface profilometer, scanning electron microscope (SEM), and energy dispersive spectroscopy (EDS). The results showed that NLGF had the enhancement of the load capacity in the noncontact state and possessed the properties of friction reduction and surface protection in the contact state. An optimal nanoparticles concentration of 60 g/m3 was found, making NLGF have a relative high load capacity in the noncontact state and the lowest friction coefficient in the contact state. With the optimal concentration, the friction coefficient with NLGF kept a low value during the 200 start-stop cyclic test. Then the friction reduction mechanism of NLGF was discussed, and it was inferred that the surface of the disk was covered with a protective film formed by nanoparticles, leading to a lower shear force. This study opens new perspectives of adding nanoparticles into gas bearings to improve the lubrication performance.
4. Nanoparticles-Laden Gas Film in Aerostatic Thrust Bearing
ASME,Trans., Journal of Tribology 136, 034501 (2014) (PDF-File)
Zhiru Yang, Dongfeng Diao*, Xue Fan and Hongyan Fan
Nanoparticles-laden gas film (NLGF) was formed by adding SiO2 nanoparticles with
volume fraction in the range of 0.014–0.330% and size of 30 nm into the air gas film in a thrust bearing. An effective viscosity of the gas-solid two phase lubrication media was introduced. The pressure distribution in NLGF and the load capacity of the thrust bearing were calculated by using the gassolid two phase flow model with the effective viscosity under the film thicknesses range of 15–60 lm condition. The results showed that the NLGF can increase the load capacity when the film thickness is larger than 30 lm. The mechanism of the enhancement effect of load capacity was attributed to the increase of the effective viscosity of the NLGF from the pure air film, and the novel lubrication media of the NLGF can be expected for the bearing industry application.
=2013 =
3. Magnetic behavior of graphene sheets embedded carbon film originated from graphenenanocrystallite
Applied Physics Letters 102, 052402 (2013)
Chao Wang and Dongfeng Diao
We found paramagnetic behavior at 300K of graphene sheets embedded carbon (GSEC) film, which is deposited under lowenergy electron irradiation in electron cyclotron resonance plasma. The origin of the magnetic properties of GSEC film is ascribed to the formation of graphene nanocrystallite. With higher irradiation energy, the size of nanocrystallite barely changed, while the density in GSEC film became higher, leading to a dramatically increase of saturation magnetization and residual magnetism. This finding indicates that GSEC film with higher magnetization can be expected, which has the potential for magnetic and spintronics applications.
2. Coating NiTi archwires with diamond-like carbon films: reducing fluoride-induced corrosion and improving frictional properties
J Mater Sci: Mater Med 24, 2287 (2013)
S.Y. Huang, J.J. Huang, T. Kang, Dongfeng Diao*, and Y.Z. Duan
This study aims to coat diamond-like carbon (DLC) films onto nickel–titanium
(NiTi) orthodontic archwires. The film protects against fluoride-induced corrosion and will improve orthodontic friction. ‘Mirror-confinement-type electron cyclotron resonance plasma sputtering’ was utilized to deposit DLC films onto NiTi archwires. The influence of a fluoride-containing environment on the surface topography and the friction force between the brackets and archwires were investigated. The results confirmed the superior nature of the DLC coating, with less surface roughness variation for DLC-coated archwires after immersion in a high fluoride ion environment. Friction tests also showed that applying a DLC coating significantly decreased the fretting wear and the coefficient of friction, both in ambient air and artificial saliva. Thus, DLC coatings are recommended to reduce fluoride-induced corrosion and improve orthodontic friction.
1. Frictional behavior of nanostructured carbon films
Dongfeng Diao*, Chao Wang, Xue Fan
Friction 1, 63-71(2013)
We propose a new path for preparing nanostructured carbon films (NCFs) by using
electron cyclotron resonance (ECR) plasma sputtering with ion–electron hybrid irradiation for controlling the frictional behavior. The frictional behavior of the NCF was measured by using a pin-on-disk tribometer with a nanoprobe displacement sensor, and the transition curves of the friction coefficient and microdisplacement of the NCFs were examined. The friction mechanism was discussed by transmission electron microscopy (TEM) observation on the wear track. From the results, we found a new method to prepare NCFs, which has the potential to achieve low friction at the early stage of sliding contact. In addition, the technology of ECR plasma with ion–electron hybrid irradiation provides a new vision to rebuild a nanostructured surface from an original surface for controlling the frictional behavior.